Control de Polvo en Transferencias de Correas Transportadoras

El polvo no es un problema menor

No se trata solo de una cuestión de visibilidad o limpieza: hablamos de riesgos serios para la salud de los trabajadores e impacto ambiental. Además, se ha demostrado que el polvo fugitivo puede contener cantidades significativas de minerales valiosos, de manera cuando se escapa material (polvo) al que ya le invertimos recursos, equipos y energía, es literalmente una pérdida económica

 

Controlar el polvo es, por tanto, una necesidad triple: proteger a las personas, al medio ambiente y los recursos de la compañía.

Rol de la humedad: un parámetro crítico

La humedad del material afecta directamente la generación de polvo. Materiales más secos tienden a generar más polvo, ya que las partículas finas no están cohesionadas y por tanto el aire las arrastra más fácilmente.

 

Para aplicaciones mineras, lo ideal es mantener la humedad entre 3% a 4% de humedad.

 

  • <2.5% → polvo severo.
  • >5% → riesgo de adherencia, taponamiento y carryback.

Fórmula de generación de polvo (NIOSH):

 

Dust = k × (1 – M/100) × V

 

Donde:

 

Dust = generación de polvo (kg/h)
k = constante experimental
M = humedad del material (%)
V = velocidad del flujo o caída

Transferencias de correas: puntos críticos de emisión de polvo

Las transferencias entre correas transportadoras son uno de los puntos más complejos en términos de emisión de polvo. En ellas, el material cambia de dirección y altura, lo que genera turbulencia, rebote y disgregación de partículas finas. Independiente de la generación de polvo, lo que dispersa las partículas es el aire que se mueve dentro de estas transferencias. El aire a mayores velocidades es capaz de sostener partículas de mayor tamaño y por consiguiente, mayores cantidades de polvo.

 

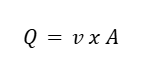
El diseño de las transferencias es sumamente importante cuando hablamos de generación de polvo, algunos diseños promueven la generación de mayores cantidades de polvo que otros. Chutes en ángulo o con camas de impacto intermedias, tienden a generar menores velocidades de aire dentro de la transferencia y por ende, menores cantidades de polvo. De la misma forma, faldones o encerramientos de correa más amplios, permiten que el aire dentro del chute se expanda y se mueva a menores velocidades, lo cual arrastra menos polvo. Si consideramos la fórmula de caudal de aire es:

 

Q

 

Donde:

 

Q: es el caudal de aire

A: es el área transversal del conducto por el cual se mueve el aire

V: es la velocidad a la que se mueve el aire

 

 

Si consideramos el caudal de aire generado en una trasferencia como fijo, al aumentar el área transversal de los chutes y encerramientos, disminuiría la velocidad a la que se mueve la masa de aire dentro del mismo.

 

Es recomendable seguir las directrices de CEMA para el diseño de las correas y sus transferencias, ya que entregan recomendaciones específicas para la geometría de las zonas de carga, los ángulos de caída, puntos de contención del material y otras buenas prácticas de diseño.

 

Intente simular el diseño de su chute, esto le entregará muchas luces sobre posibles mejoras en el diseño.

 

Además del diseño y geometría de la transferencia, algunos componentes básicos de las correas, son claves y facilitan el control físico del polvo:

 

  • Gualderas en buen estado, ajustadas a la correa sin deformaciones, que reduzcan los derrames.
  • Sellos laterales que acompañan el movimiento sin permitir fugas.
  • Raspadores efectivos que eviten el arrastre de material fino.
  • Cortinas a la entrada y salida de los chutes, que eviten entradas y contengan las corrientes de aire dentro de los chutes.

Estos componentes deben revisarse y mantenerse con regularidad. Su falla crea fugas por donde el polvo escapa incluso antes de ser tratado. 

Física del aire en transferencias

Cuando el material cae de una correa a otras por medio de un chute de transferencia, se crean dos flujos de aire importantes que contribuyen a los problemas de polvo:

 

 

      A. Flujo de aire desplazado

Cuando el material cae desde una correa superior a una inferior, desplaza el aire que estaba en el interior del chute. Este aire no tiene a dónde ir, así que sale expulsado por las aberturas arrastrando consigo partículas de diversos tamaños (polvo).

 

Ejemplo: Imagina que lanzas una piedra dentro de una botella con agua. El agua se ve obligada a salir. Lo mismo pasa con el aire cuando el mineral cae dentro del chute. 

 

 

      B. Flujo de aire inducido

A medida que el material cae, también arrastra aire, creando una zona de baja presión que atrae más aire hacia el interior del chute. Este flujo de aire adicional aumenta la presión dentro del chute, lo que hace más difícil evitar que el polvo escape.

 

Ejemplo: imagine a una persona saltando a una piscina, su movimiento arrastra aire dentro del agua y genera burbujas. De la misma manera en un chute, la caída de rocas "atrae" el aire hacia abajo, añadiendo más aire al sistema.

 

Estos dos flujos son los que dispersan el polvo y lo arrastran con ellos. De manera que para lograr un control eficaz del polvo, es esencial controlar dichos flujos, sellando aperturas, reduciendo la velocidad del aire dentro de los chutes e idealmente también manteniendo una ligera presión negativa dentro de los mismos.

 

Para estimar los volúmenes de aire inducido y desplazado en un punto de transferencia, se pueden utilizar varios métodos. Si la transferencia ya se encuentra operativa, se pueden hacer mediciones. Cuando es nueva, se puede realizar un cálculo de ingeniería. Una fórmula muy conocida es la propuesta por Goldbeck and Marti (1996):

 

qtot

 

Donde: 

 

  • Qtot = movimiento total de aire (cfm) 
  • Qdes = aire desplazado 
  • Qind = aire inducido 
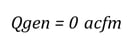
  • Qgen = aire generado 

 

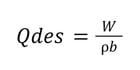
En Donde, la fórmula de Qdes es:

 

qdes

 

Donde:

 

  • W: producto transportado (lb/min) 
  • ρb: densidad aparente (lb/ft3)

 

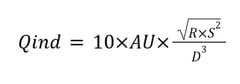
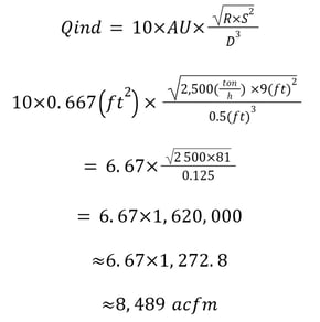
Y la formula de Qind es:

 

quind

 

Donde:

 

  • Q: caudal de aire inducido (cfm)
  • Au ​: área abierta en chute de entrada (ft²)
  • R: tasa de alimentación de material (tph)
  • S: altura de caída libre del material (ft)
  • D: tamaño promedio del material (ft)

 

 

Respecto a Qgen, en algunos sistemas, el aire puede introducirse intencionalmente mediante sopladores, sistemas de nebulización o boquillas de aire comprimido. Este flujo de aire generado Qgen debe añadirse al requerimiento total. Generalmente se mide o estima según las especificaciones del equipo que lo produce.

Controlando de Polvo

Existen varias tecnologías de control de polvo que se pueden aplicar en transferencias, las más comunes son:

 

      A. Supresión (niebla seca o aspersión fina)

Este método consiste en pulverizar gotas de agua muy pequeñas que se adhieren a las partículas de polvo en el aire, aglomerando las mismas y aumentando su masa, lo que eventualmente ocasiona que decantan por gravedad. 

 

Ventajas:

  • Bajo consumo de energía
  • Fácil de instalar e implementar
  • Inversión inicial menor
  • Se puede usar en áreas abiertas

Limitaciones:

  • Ineficaz en situaciones de alta velocidad de aire
  • Tiene limitaciones en la captura de polvo muy fino
  • No crea presión negativa dentro de la transferencia o deja salir al aire inducido y desplazado, liberando presiones
  • Requiere mayor interacción de operarios y mantenedores

Una regla general para la supresión en los puntos de transferencia es mantener el mayor tiempo de contacto posible entre la neblina y la nube de polvo, con el objetivo de que la mayor cantidad de partículas se precipitan. Además de ajustar correctamente la generación de neblina hasta lograr la calidad de neblina deseada, cuyo tamaño de gota es el más apto para el proceso que atiende.

     

      B. Extracción (colectores de polvo)

Este enfoque utiliza un sistema de succión para extraer el aire con polvo a través de campanas o aberturas en el chute para luego llevarlo hacia sistemas de filtración que separan el polvo del aire, colectando el polvo filtrado y expulsando aire limpio al ambiente. 

 

Ventajas:

  • Alta eficiencia en partículas finas
  • Ideal para recintos cerrados
  • Crea presión negativa dentro de la transferencia, “ventea” la transferencia liberando presiones 
  • Requiere de poca intervención una vez ajustado

Limitaciones:

  • Depende de buen sellado
  • Mayor costo inicial
  • Mayor consumo energético
  • Mayor costo de repuestos

Una regla general para la colección de polvo en los puntos de transferencia es generar una velocidad mayor a 200 ft/min en aberturas, entradas, salidas o compuerta de un chute. Esto tiene como objetivo mantener presión negativa y garantizar que el aire externo fluya hacia el interior evitando las fugas de polvo. 

Ejemplo comparativo de dimensionamiento 

Además del método es el descrito anteriormente para estimar caudales de extracción, existe otro muy conocido en el Manual de Ventilación Industrial del ACGIH. Este método propone utilizar valores de caudal por ancho de correa según la velocidad de la correa, más un factor de corrección dependiendo de que tan polvoriento es el material que estamos transportando. 

 

Para velocidades de correa ≤ 200 ft/min:

 

Q = 350 (acfm) x ancho de correa (ft)

 

Para velocidades de correa ≥ 300 ft/min:

 

Q = 500 (acfm) x ancho de correa (ft)

 

Y para caídas mayores a 3ft, usar una campana extra en la cola de la correa de 700acfm para correas menores a 36” y 1,000acfm para correas mayores de 36”.

 

Ambos métodos descritos son muy similares, si comparásemos usando un ejemplo práctico para una correa transportando material desde el chancado primario hacia el resto del proceso. Con los siguientes parámetros:

 

  • Ancho de correa: 4 ft
  • Velocidad de ambas correas: 300 ft/min
  • Tasa de alimentación R: 2,500 ton/h
  • Altura de caída entre las dos correas S: 9 ft
  • Tamaño promedio de partícula D: 6 in = 0.5 ft
  • Área abierta Au​: ancho de correa x altura de abertura entre cortina y material = 4 ft × (2 in) = 0.667 ft²
  • Densidad aparente del mineral​: 135 lb/ft³
  • Qgen se considerara despreciable, ya que no se involucran otros equipos.

 

 

      A. Método ACGIH (Figura VS-50-20)

Para velocidad ≥ 300 ft/min: 500 acfm/ft

 

Qbase=500  acfm ×4  ft =2,000  acfm,

 

Considerando tres campanas, una en la correa que alimenta, otra en la correa que recibe y otra en la cola de la correa.

 

Para la primera campana Q1, ubicada en el cabezal de la correa que alimenta y considerando un factor de polvo de generación de 1.5

 

Q1 = Qbase x 1.5

2,000 x 1.5 = 3,000 acfm

Para la segunda campana Q2, ubicada en el faldón o encerramiento de la correa que recibe y considerando un factor de polvo de generación de 2

 

Q2 = Qbase x 2

2,000 x 2 = 4,000 acfm

Para la campana de Cola Q3, se sigue la regla de un caudal extra de 1,000acfm  y se considera un factor de generación de polvo de 2. 

 

Q3 = 1,000acfm x 2 = 2,000 acfm

Total calculado com método ACGIH = 9,000 acfm

 

      B. Método Goldbeck & Marti (1996) para el punto de transferencia

Aire desplazado Qdes

 

B Method

 

 

Aire inducido Qind

 

INducido

 

Aire generado Qgen​

 

generado G

 

Caudal total Qtot

 

Caudal-1

 

 

Es decir, el método del ACGIH suma un caudal de extracción total de 9,000acfm. Y el método de Goldbeck & Marti estima 9,106acfm. La diferencia es mínima, lo que confirma que ambas metodologías, bien ajustadas con sus respectivos factores, ofrecen valores comparables para un diseño robusto.

 

 

Referencias

  1. American Conference of Governmental Industrial Hygienists (ACGIH). (2024). Industrial Ventilation: A Manual of Recommended Practice for Design, 30th Edition.
  2. Goldbeck, R., & Marti, J. (1996). Ventilation Requirements for Dust Control Hose Transfer Points. Journal of Occupational Hygiene.
  3. Conveyor Equipment Manufacturers Association (CEMA). (2020). Belt Conveyors for Bulk Materials, 7th Edition.
  4. NIOSH. (1998). A Strategy for Dust Control in Industrial Environments.
  5. Dust Control Handbook for Industrial Minerals Mining and Processing. NIOSH Mining Program Report of Investigations. RI 9701. Second Edition.